363050.com

南宫28官网
南宫28-官方投注平台高赔率秒开奖海外华人首选绝对负压厂房生产的Sabin株脊髓灰质炎灭活疫苗质量研究

  南宫28,南宫28官网,28彩票网站,28开奖,28下注,彩票赚钱,28预测,28走势分析,28开奖预测,28下注按照批准的生产工艺在绝对负压厂房生产sIPV Ⅰ、Ⅱ和Ⅲ型单价原液各3批,配制3批sIPV三价半成品并分装成3批成品。按照企业注册标准(企标)对原液、半成品和成品进行全项检测,并将有效性指标(D抗原含量、效力试验)检测结果与相对负压厂房生产、检验合格的相对应中间产品和成品检测结果进行对比分析。对绝对负压厂房生产的Ⅰ、Ⅱ和Ⅲ型单价原液及成品进行2~8 ℃长期稳定性考察和25、37 °C加速稳定性考察,以进一步确认该厂房对sIPV质量的影响。

  结果绝对负压厂房生产的单价原液中Ⅰ、Ⅱ和Ⅲ型D抗原含量分别为≥400、≥200、≥400 D抗原单位(D-antigen unit,DU)/ml,半成品中分别为48~84、54~90、82~128 DU/ml,成品中分别为24~42、27~45、41~64 DU/剂,各项检测结果均符合企标要求;供试品半成品半数有效剂量(50% effective dose,ED 50 )均高于参考品,且效力试验结果(供试品与参考品ED 50 比)均在警戒限内波动。相对负压与绝对负压厂房生产的sIPV原液、半成品、成品中Ⅰ、Ⅱ和Ⅲ型D抗原含量及半成品效力试验结果的差异无统计学意义( t 值分别为-0.96、-1.69、-1.07、1.61、-0.85、0.07、0.00、-0.66、-1.04、1.93、0.83、1.31, P 值均>0.05)。稳定性考察结果显示,在疫苗有效期内的各个考察时间点的所有检测结果均符合企标的要求。

  目前,国内sIPV生产均在相对负压厂房进行活病毒操作 [9] ,但WHO 2015年发布的《世界卫生组织在消灭特定型别野生脊灰病毒和相继停用口服OPV后最大程度降低脊灰病毒设施相关风险的全球行动计划》(GAP Ⅲ) [10] 及2019年发布的《脊髓灰质炎疫苗安全生产和质量控制指南》附件4 [11] ,对生产脊灰病毒疫苗的设施提出了相对于环境绝对负压、安全防护和封存区的要求,以避免病毒外泄,进一步降低生物安全隐患。为确认绝对负压厂房生产的sIPV质量可控性,本研究将相对负压、绝对负压厂房生产的sIPV进行质量可比性研究 [12-13] ,为sIPV的生产以及生物安全保障提供指导。

  供试品为在绝对负压厂房采用与相对负压厂房相同条件、经批准的生产工艺生产的sIPV Ⅰ型(BⅠ1—BⅠ3)、Ⅱ型(BⅡ1—BⅡ3)和Ⅲ型单价原液(BⅢ1—BⅢ3)各3批,以及采用以上单价原液生产的三价半成品(BB1—BB3)和成品(B1—B3)各3批。

  D抗原参考品和效力参考品均由中国医学科学院医学生物学研究所(IMBCAMS)制备,采用中国食品药品检定研究院的国家标准品进行标定。

  相对负压厂房生产、检验合格的sIPV Ⅰ型单价原液28批(PⅠ1—PⅠ28),Ⅱ型单价原液46批(PⅡ1—PⅡ46),Ⅲ型单价原液32批(PⅢ1—PⅢ32),三价半成品52批(PB1—PB52)和成品52批(P1—P52)的检测数据均由IMBCAMS提供。

  异常毒性试验:28~35日龄无特定病原体(specific pathogen free,SPF)级ICR小鼠,18~22 g,每批产品试验使用量5只,空白对照5只;42~56日龄清洁级Hartley豚鼠,250~350 g,每批产品试验使用量2只,空白对照2只。效力试验:42~56日龄SPF级Wistar大白鼠,175~200 g,每批产品试验使用量40只,接种效力参考品40只,空白对照10只。以上实验动物均由IMBCAMS提供,实验动物生产许可证号:SCXK(滇)K2019-002。

  一抗、二抗、2 mol/L H 2 SO 4 、PBS和M199稀释液均由IMBCAMS制备,牛血清白蛋白(bovine serum albumin,BSA)购自北京索莱宝科技有限公司,0.05% Tween 20购自美国Sigma公司,酶标抗体购自美国Thermo Fisher公司,3,3´,5,5´-四甲基联苯胺购自美国Seracare-KPL公司,定量检测BSA ELISA试剂盒购自无锡博生医用生物技术开发有限公司,Vero细胞蛋白质残留试剂盒购自北京天坛生物制品股份有限公司,卡那霉素残留ELISA试剂盒购自北京勤邦生物技术有限公司,Hep2细胞购自美国典型培养物保藏中心。

  按照企业注册标准(企标) [14] 对单价原液、三价半成品和成品进行各项检定。

  1.5.1 D抗原含量测定采用ELISA测定Ⅰ、Ⅱ和Ⅲ型D抗原含量。用PBS将Ⅰ、Ⅱ和Ⅲ型一抗按一定比例稀释后,加入酶标板,室温过夜。加封闭液(PBS+1% BSA)150 μl/孔,室温封闭1.5 h。用稀释液(PBS+0.5% BSA+0.05% Tween 20)将D抗原参考品及供试品稀释至适宜浓度后加入板中,100 μl/孔,阴性对照为稀释液100 μl/孔,4 °C过夜。用稀释液将Ⅰ、Ⅱ和Ⅲ型二抗稀释到适宜浓度,加入板中,100 μl/孔,室温孵育。加酶标抗体室温孵育1.5 h。加底物100 μl,室温显色10 min,加2 mol/L H 2 SO 4 终止。以450 nm为检测波长测吸收值,记录各孔吸收值,通过四参数曲线拟合法计算D抗原含量。判定标准:单价原液、半成品和成品中Ⅰ、Ⅱ、Ⅲ型D抗原含量应分别为≥400、≥200、≥400、48~84、54~90、82~128 D抗原单位(D-antigen unit,DU)/ml和24~42、27~45、41~64 DU/剂。

  1.5.2 鉴别试验同D抗原含量测定,应证明含有脊灰病毒Ⅰ、Ⅱ和Ⅲ型D抗原。

  1.5.3 病毒灭活验证试验采用细胞培养法进行病毒灭活验证。取含1 500剂D抗原量的样品接种到Hep2细胞,于(35.5±0.5)℃培养至21 d(原始培养),并于14 d和21 d取原始培养上清液分别盲传培养各14 d。原始培养结束后,观察细胞,并在原始细胞培养物上接种与单价病毒灭活液同型别的病毒进行攻击,攻击病毒量应为接近检测限的低剂量病毒,攻击后的细胞应出现细胞病变。原始细胞培养和2次盲传细胞培养均应无致细胞病变效应(cytopathic effect,CPE)发生,表示病毒灭活彻底,无活病毒存在。

  1.5.5 效力试验供试品和效力参考品分别按未稀释、1:3、1:9、1:27稀释度接种Wistar大白鼠,每个稀释度接种10只,每只腿部肌内注射0.5 ml。10只Wistar大白鼠接种M199稀释液,0.5 ml/只作为阴性对照。饲养观察21 d,采血分离血清,于56 ℃灭活30 min。采用中和试验方法检测血清中的抗Ⅰ、Ⅱ和Ⅲ型脊灰病毒抗体,以1:4为阳性判定标准,结果用Reed-Muench方法计算半数有效剂量(50% effective dose,ED 50 ),供试品的ED 50 应不低于效力参考品的ED 50 。

  1.5.6 装量、pH、游离甲醛、蛋白质含量、DNA残留、无菌、细菌内毒素、异常毒性、2-苯氧乙醇含量检测按照中国药典2015年版四部通则的相关要求进行检测 [15] ,其中,异常毒性检查采用ICR小鼠及豚鼠进行试验,2-苯氧乙醇含量采用高效液相色谱法检测。判定标准:装量应不少于0.5 ml,pH应在6.5~7.5,游离甲醛应≤25 μg/剂,蛋白质含量应≤10 μg/剂,DNA残留应≤50 pg/剂,无菌检查、异常毒性应为阴性,细菌内毒素应<10 内毒素单位/剂,2-苯氧乙醇含量应在4.0~6.0 mg/ml。

  1.5.7 BSA、Vero细胞蛋白质、抗生素残留检测分别采用定量检测BSA ELISA试剂盒、Vero细胞蛋白质残留试剂盒及卡那霉素残留ELISA试剂盒进行检测,BSA残留应≤50 ng/剂,Vero细胞蛋白质残留应≤200 ng/剂,抗生素残留应≤50 ng/剂。

  对绝对负压厂房生产的sIPV Ⅰ、Ⅱ和Ⅲ型单价原液和成品各3批分别进行2~8 ℃长期稳定性考察和25、37 ℃加速稳定性考察,并绘制D抗原含量稳定性趋势图。

  1.7.1 单价原液2~8 °C长期稳定性考察在0、3、6、9、12、18、24个月进行,0个月进行全项检测,3、6、9、18个月进行D抗原含量测定,12和24个月进行D抗原含量测定和无菌检查。

  25 ℃加速稳定性考察在0、1、2、3、4周进行,0周进行全项检测,1、2、3周进行D抗原含量测定,4周进行D抗原含量测定和无菌检查。

  37 ℃加速稳定性考察在0、7、14 d进行,0 d进行全项检测,7 d进行D抗原含量测定,14 d进行D抗原含量测定和无菌检查。

  1.7.2 成品2~8 ℃长期稳定性考察在0、3、6、9、12、18、24个月进行,0、12和24个月进行全项检测,3、6、9、18个月进行鉴别试验及外观、蛋白质含量、2-苯氧乙醇含量、细菌内毒素、pH、D抗原含量检测。

  25 ℃加速稳定性考察在0、1、2、3、6个月进行,0、1、6个月进行全项检测,2、3个月进行外观、蛋白质含量、2-苯氧乙醇含量、细菌内毒素、pH、D抗原含量检测。

  37 ℃加速稳定性考察在0、7、14 d进行,0、14 d进行全项检测,7 d进行外观、蛋白质含量、2-苯氧乙醇含量、细菌内毒素、pH、D抗原含量检测。

  2.1.1 单价原液绝对负压厂房生产的3个型别sIPV单价原液各3批的检测结果均符合企标的要求,其中D抗原含量见表1。

  2.1.2 三价半成品绝对负压厂房生产的sIPV三价半成品BB1—BB3检测结果均符合企标要求,其中D抗原含量及效力试验结果见表2。

  2.1.3 成品绝对负压厂房生产的sIPV成品B1—B3检测结果均符合企标要求,其中D抗原含量见表3。

  2.2.1 趋势分析相对负压厂房生产的sIPV各阶段D抗原含量及效力试验结果见表4—6。由表1一3可见,绝对负压厂房生产的sIPV Ⅰ、Ⅱ、Ⅲ型单价原液D抗原含量均在警戒限范围内波动;三价半成品Ⅰ、Ⅱ型D抗原含量在行动限范围内波动,Ⅲ型D抗原含量在警戒限范围内波动;成品Ⅰ、Ⅱ、Ⅲ型D抗原含量均在警戒限范围内波动;三价半成品Ⅰ、Ⅱ和Ⅲ型效力试验结果均在警戒限范围内波动。

  2.2.2 独立样本 t 检验经计算,相对负压和绝对负压厂房生产的sIPV单价原液、三价半成品、成品的D抗原含量以及三价半成品Ⅰ、Ⅱ、Ⅲ型效力试验结果均服从正态分布。

  相对负压与绝对负压厂房生产的sIPV单价原液、三价半成品、成品中Ⅰ、Ⅱ、Ⅲ型D抗原含量差异均无统计学意义( t 值分别为-0.96、-1.69、-1.07、1.61、-0.85、0.07、0.00、-0.66、-1.04, P 值均>0.05);三价半成品Ⅰ、Ⅱ、Ⅲ型效力试验结果差异也均无统计学意义( t 值分别为1.93、0.83、1.31, P 值均>0.05)。

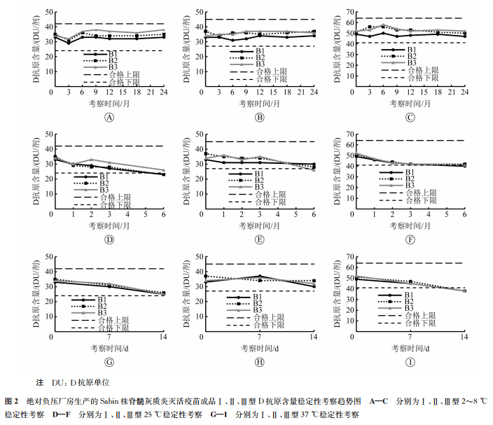
  2.3.1 单价原液绝对负压厂房生产的sIPV单价原液2~8 °C长期稳定性考察和25、37 °C加速稳定性考察全部时间点的所有考察项目均符合企标的要求,其中D抗原含量趋势见图1。

  2.3.2 成品对绝对负压厂房生产的sIPV成品进行2~8 ℃长期稳定性考察,每一个考察时间点下的考察项目均符合企标的要求。在25 ℃、37 ℃加速稳定性考察中,除B1批Ⅰ、Ⅲ型和B3批Ⅱ型D抗原含量在25 ℃加速稳定性考察6个月的结果,以及B1、B2、B3批Ⅲ型D抗原含量在37 ℃加速稳定性考察14 d的结果低于合格下限外,其余考察项目的检测结果均符合企标的要求。sIPV成品D抗原含量考察趋势见图2。

  相比用野毒株生产的脊灰灭活疫苗,sIPV生产成本低,生产过程更安全,若产生泄露,所造成的生物安全风险也相对较低 [10] 。因此,WHO鼓励脊灰疫苗生产厂家采用Sabin株进行疫苗生产,以降低脊灰病毒传播风险,并将sIPV纳入WHO预认证高优先级别疫苗 [16-18] 。然而,WHO对sIPV活病毒的生产环境提出了绝对负压的要求,旨在消灭特定型别野生脊灰病毒和相继停用口服脊灰疫苗后最大程度地降低脊灰病毒设施的相关风险 [10-11] 。目前,全球已经进入消灭脊灰病毒的最终阶段,对sIPV需求逐年增加 [19] ,按照WHO要求设计绝对负压厂房,生产出安全、有效的sIPV具有重大意义。

  本研究显示,绝对负压厂房生产的sIPV Ⅰ、Ⅱ、Ⅲ型单价原液以及三价半成品和成品各3批检测结果均合格。此外,本研究对相对负压和绝对负压厂房生产的sIPV有效性指标D抗原含量和效力试验检测结果进行了趋势分析和独立样本 t 检验。趋势分析结果显示,绝对负压厂房生产的sIPV各阶段D抗原含量均在行动限范围内波动,三价半成品Ⅰ、Ⅱ、Ⅲ型供试品ED 50 均高于参考品ED 50 ,且两者比值均在警戒限范围内波动。经过独立样本 t 检验,相对负压与绝对负压厂房生产的sIPV各阶段D抗原含量、三价半成品效力试验结果差异均无统计学意义( P 值均>0.05)。

  另外,疫苗温度标签反应速率的研究显示,2~8 ℃条件下有效期为2年的疫苗(sIPV满足该条件),可等效为25 ℃保存45 d、37 ℃保存7 d [20] 。在sIPV产品有效期内的各个考察时间点的所有检测结果均符合企标的要求,绝对负压厂房生产的sIPV稳定性良好,质量可靠。

  绝对负压的设计可减少脊灰病毒传播,降低生物安全的风险,在今后的工作中,我们应持续关注绝对负压厂房下生产的sIPV质量,为中国及世界儿童提供安全、有效的sIPV。

  引用本文:周振歆, 易力, 刘一凡, 等.绝对负压厂房生产的Sabin株脊髓灰质炎灭活疫苗质量研究[J].国际生物制品学杂志, 2023, 46(3):134-140.返回搜狐,查看更多

Copyright © 2012-2025 南宫28官方公司 版权所有 非商用版本